Fitness Seller

TRT wanneer dokter niet mee wilt werken.

Status
Niet open voor verdere reacties.
Trouwens, als die medicatie voornamelijk voor depressie en angst is.. heb je redenen om te geloven dat je misschien daarvoor al lage T had? (wat ook weer kon meespelen in die klachten?)
 
  • Topic Starter Topic Starter
  • #22
Trouwens, als die medicatie voornamelijk voor depressie en angst is.. heb je redenen om te geloven dat je misschien daarvoor al lage T had? (wat ook weer kon meespelen in die klachten?)
Ik ben nu 39 en ben begonnen op mijn 21e. In de tussentijd wel verhogingen en aanpassingen gehad, maar nu al jaren niet meer nodig gehad.

Ben nog nooit zo stabiel en positief geweest als nu.

Zonder medicijnen draai ik door, simpel gezegd. Heb heel veel aandoeningen, allemaal geërfd van mijn ouders.

Ik mis ze nog iedere dag, maar ben mentaal nog nooit zo sterk geweest. Dat zie je ook aan mijn dedication in de sportschool, om een voorbeeld te geven. Ben wel 80-100% afgekeurd.
 
  • Topic Starter Topic Starter
  • #25
Maar wat ik wél apart vind, ik groei wel behoorlijk hard. Met lage/medisch normale testosteron. Waar ligt dat aan?
 
  • Topic Starter Topic Starter
  • #27
Iedereen bedankt voor de reacties tot dusver en die er nog gaan komen 🤜🏻🤛🏼

Binnenkort maar eens een afspraak bij de kliniek maken. En een DEXA, want 26% is outdated maar nog wel een feit in maart. En ik werk met feiten, geen aannames.

Zoals jullie misschien wel gemerkt hebben, ben ik een redelijk mens en sta ik open voor kritiek. Dus geloof me dat ik beter naar de genoemde kliniek kan gaan dan naar m'n huisarts. Want die wilt gewoon van niets weten, simpel.

Ik heb al heel veel geleerd in dit topic en ben ik zeer blij mee :)
 
  • Topic Starter Topic Starter
  • #28
Voldoende eten en hard genoeg trainen, dat zal 9/10 de reden zijn dat je toch behoorlijk buff bent
M'n autisme zorgt ervoor dat dat goed MOET zitten, bodybuilden is m'n leven. Dat en mijn vriendin. En gamen 🙈

Ik vind het soms apart om te zeggen dat ik een bodybuilder ben/ik aan bodybuilden doe. Maar ik lift niet, doe niet aan krachttraining met zware gewichten, doe niet aan fitness want Cardio is een Spaans woord en ben eigenlijk alleen maar m'n lichaam aan het bouwen met MMC, Tension en volledige hypertrofie. Daarna komen de gewichten pas. Ik zou niet weten hoe ik het anders moet noemen 🤣
 
  • Topic Starter Topic Starter
  • #31
Ik ben niet van de halve maatregelen, dus bij deze.

Nogmaals bedankt heren 💪🏻
 

Bijlagen

  • InShot_20230910_163100042.jpg - 596483
    InShot_20230910_163100042.jpg
    67,1 KB · Weergaven: 104
Studies kunnen ook geen verschil in gains vinden voor hogere of lagere testosteron binnen de natuurlijke/gezonde range.
Je bent me voor :p
Dus eh, ja dit kan ik wetenschappelijk beamen. Het is dus niet raar dat je wel prima groeit.

Merk dat je een goede gozer bent met het hart op de juiste plek en goed aan zelfreflectie doet, dat zie je helaas niet zo vaak, zeker niet op het internet. :thumb:
Als mijn huisarts niet mee wilt werken aan iets dan ga ik naar een andere huisarts totdat ik m'n zin krijg. Heb nu onderhand praktisch alles voorgeschreven gekregen in m'n leven haha. Moet wel zeggen dat mijn achtergrond daar waarschijnlijk een grote rol in speelt, maar goed. Waar ik eerst aan dacht is dus om dan maar te gaan huisarts-shoppen, maar het percentage huisartsen dat heel moeilijk doet met TRT is heel hoog, dus sluit me volledig aan bij Bullshark.

Over die 250 mg... Dat doen alleen mensen die hun pretenderen natty te zijn, maar echt beduidend te hoge testosteron hebben, ook op de laatste dag. Tenzij het gaat om sustanon, maar dat moet je sowieso niet nemen. Ik weet niet welke idioot die mix heeft bedacht, want dat je van veel te hoog, na een paar dagen al naar beneden schiet en de laatste week veel te laag zit met je testosteron is helemaal waardeloos. Je krijgt dan ook meer bijwerkingen dan bij test-e. Hoe stabieler je testosteron, hoe minder bijwerken. Dat geldt voor praktisch elk medicijn/supplement/peptide/drugs trouwens.

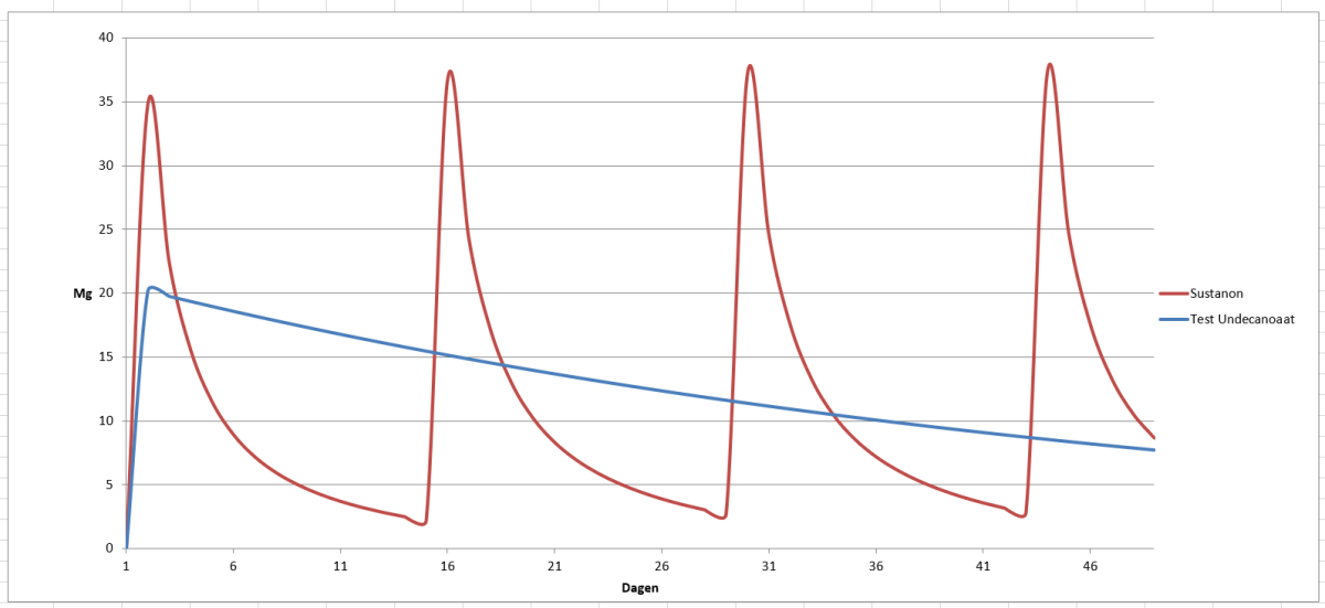
Ik heb een plotje gemaakt van hoeveel sustanon er per dag wordt afgegeven aan je bloed als je elke 2 weken 250 mg neemt (wat een tyfuswerk, 4 verschillende vormen met een andere halfwaardetijd en dosis), vergeleken met de vorm die in Nederland helaas niet vergoed wordt (testosteron undecanoaat, merknaam Nebido). Moet je na gaan hoe debiel eens in de 3 weken is...

Het andere plaatje is de hoeveelheid testosteron in je bloed met een injectie van 250 mg test e per 1, 2, 3 en 4 weken. Als ik TRT zou doen met test e dan zou ik elke week 125 mg nemen, wellicht 2x per week de helft (afhankelijk van mogelijke bijwerkingen).

Kuur dus

Edit: Ah ik was nogal druk met andere dingen, dus je had weer iets geplaatst toen deze nog niet geplaatst was. Eerste wat ik dacht toen ik keek was "t*ring daar kan je 250iu HGH van halen". Ernstig dit haha
Edit 2: Disclaimer bij grafiekje 1, die ik heb gemaakt. Dat is dus t.o.v. plaatje 2 niet hoeveel testosteron er in je bloed zit, maar hoeveel er wordt afgegeven. Hoeveel er in je bloed zit geeft een beter beeld, maar ik ga daar niet even nog veel meer tijd in stoppen, ook omdat het me vooral om plaatje 2 ging en plaatje 1 wel duidelijk laat zien dat Sustanon debiel is.
 

Bijlagen

  • Sustanon vs test undeca.png - 596489
    Sustanon vs test undeca.png
    84,3 KB · Weergaven: 56
  • Test e TRT.png - 596495
    Test e TRT.png
    385,9 KB · Weergaven: 55
Laatst bewerkt:
Je bent me voor :p
Dus eh, ja dit kan ik wetenschappelijk beamen. Het is dus niet raar dat je wel prima groeit.

Merk dat je een goede gozer bent met het hart op de juiste plek en goed aan zelfreflectie doet, dat zie je helaas niet zo vaak, zeker niet op het internet. :thumb:
Als mijn huisarts niet mee wilt werken aan iets dan ga ik naar een andere huisarts totdat ik m'n zin krijg. Heb nu onderhand praktisch alles voorgeschreven gekregen in m'n leven haha. Moet wel zeggen dat mijn achtergrond daar waarschijnlijk een grote rol in speelt, maar goed. Waar ik eerst aan dacht is dus om dan maar te gaan huisarts-shoppen, maar het percentage huisartsen dat heel moeilijk doet met TRT is heel hoog, dus sluit me volledig aan bij Bullshark.

Over die 250 mg... Dat doen alleen mensen die hun pretenderen natty te zijn, maar echt beduidend te hoge testosteron hebben, ook op de laatste dag. Tenzij het gaat om sustanon, maar dat moet je sowieso niet nemen. Ik weet niet welke idioot die mix heeft bedacht, want dat je van veel te hoog, na een paar dagen al naar beneden schiet en de laatste week veel te laag zit met je testosteron is helemaal waardeloos. Je krijgt dan ook meer bijwerkingen dan bij test-e. Hoe stabieler je testosteron, hoe minder bijwerken. Dat geldt voor praktisch elk medicijn/supplement/peptide/drugs trouwens.

Ik heb een plotje gemaakt van hoeveel sustanon er per dag wordt afgegeven aan je bloed als je elke 2 weken 250 mg neemt (wat een tyfuswerk, 4 verschillende vormen met een andere halfwaardetijd en dosis), vergeleken met de vorm die in Nederland helaas niet vergoed wordt (testosteron undecanoaat, merknaam Nebido). Moet je na gaan hoe debiel eens in de 3 weken is...

Het andere plaatje is de hoeveelheid testosteron in je bloed met een injectie van 250 mg test e per 1, 2, 3 en 4 weken. Als ik TRT zou doen met test e dan zou ik elke week 125 mg nemen, wellicht 2x per week de helft (afhankelijk van mogelijke bijwerkingen).


Kuur dus

Edit: Ah ik was nogal druk met andere dingen, dus je had weer iets geplaatst toen deze nog niet geplaatst was. Eerste wat ik dacht toen ik keek was "t*ring daar kan je 250iu HGH van halen". Ernstig dit haha
Edit 2: Disclaimer bij grafiekje 1, die ik heb gemaakt. Dat is dus t.o.v. plaatje 2 niet hoeveel testosteron er in je bloed zit, maar hoeveel er wordt afgegeven. Hoeveel er in je bloed zit geeft een beter beeld, maar ik ga daar niet even nog veel meer tijd in stoppen, ook omdat het me vooral om plaatje 2 ging en plaatje 1 wel duidelijk laat zien dat Sustanon debiel is.

Nebido wordt volgens mij gewoon vergoed vandaag de dag.
 
  • Topic Starter Topic Starter
  • #35
Je bent me voor :p
Dus eh, ja dit kan ik wetenschappelijk beamen. Het is dus niet raar dat je wel prima groeit.

Merk dat je een goede gozer bent met het hart op de juiste plek en goed aan zelfreflectie doet, dat zie je helaas niet zo vaak, zeker niet op het internet. :thumb:
Als mijn huisarts niet mee wilt werken aan iets dan ga ik naar een andere huisarts totdat ik m'n zin krijg. Heb nu onderhand praktisch alles voorgeschreven gekregen in m'n leven haha. Moet wel zeggen dat mijn achtergrond daar waarschijnlijk een grote rol in speelt, maar goed. Waar ik eerst aan dacht is dus om dan maar te gaan huisarts-shoppen, maar het percentage huisartsen dat heel moeilijk doet met TRT is heel hoog, dus sluit me volledig aan bij Bullshark.

Over die 250 mg... Dat doen alleen mensen die hun pretenderen natty te zijn, maar echt beduidend te hoge testosteron hebben, ook op de laatste dag. Tenzij het gaat om sustanon, maar dat moet je sowieso niet nemen. Ik weet niet welke idioot die mix heeft bedacht, want dat je van veel te hoog, na een paar dagen al naar beneden schiet en de laatste week veel te laag zit met je testosteron is helemaal waardeloos. Je krijgt dan ook meer bijwerkingen dan bij test-e. Hoe stabieler je testosteron, hoe minder bijwerken. Dat geldt voor praktisch elk medicijn/supplement/peptide/drugs trouwens.

Ik heb een plotje gemaakt van hoeveel sustanon er per dag wordt afgegeven aan je bloed als je elke 2 weken 250 mg neemt (wat een tyfuswerk, 4 verschillende vormen met een andere halfwaardetijd en dosis), vergeleken met de vorm die in Nederland helaas niet vergoed wordt (testosteron undecanoaat, merknaam Nebido). Moet je na gaan hoe debiel eens in de 3 weken is...

Het andere plaatje is de hoeveelheid testosteron in je bloed met een injectie van 250 mg test e per 1, 2, 3 en 4 weken. Als ik TRT zou doen met test e dan zou ik elke week 125 mg nemen, wellicht 2x per week de helft (afhankelijk van mogelijke bijwerkingen).


Kuur dus

Edit: Ah ik was nogal druk met andere dingen, dus je had weer iets geplaatst toen deze nog niet geplaatst was. Eerste wat ik dacht toen ik keek was "t*ring daar kan je 250iu HGH van halen". Ernstig dit haha
Edit 2: Disclaimer bij grafiekje 1, die ik heb gemaakt. Dat is dus t.o.v. plaatje 2 niet hoeveel testosteron er in je bloed zit, maar hoeveel er wordt afgegeven. Hoeveel er in je bloed zit geeft een beter beeld, maar ik ga daar niet even nog veel meer tijd in stoppen, ook omdat het me vooral om plaatje 2 ging en plaatje 1 wel duidelijk laat zien dat Sustanon debiel is.
Thanks man, leerzaam dit. En er zit inderdaad niets kwaads in me nee. Zou nooit zelf trouble beginnen, alleen van me af bijten indien nodig.
Het 250mg Test C als TRT idee had ik ook van een Amerikaanse influencer die dit deed. Hij staat niet in mijn favorieten, dus zou niet kunnen noemen hoe hij heet.

Maar hier blijkt dus dat hij poep praatte haha
 
Dat gaat hem niet worden helaas, voel me juist mentaal goed hierdoor. Zonder deze, zou ik nu niet aan het typen zijn.

Ik heb beide ouders verloren in 2020 en 2021 en zonder deze medicijnen had ik er allang een einde aan gemaakt.

En nu, in 2023, ben ik mentaal sterker dan ooit.

En om een voorbeeld te geven, ik ben autistisch. Dus het gebeurt eigenlijk nooit. Maar als ik in de ochtend mijn Venlafaxine vergeet, heb ik in de avond gegarandeerd een paniekaanval.

Volgens mij is het best moeilijk om de chemie in het hoofd goed te krijgen mocht het niet vanzelf gaan.
Daarmee gaan experimenteren is die paar kilo ten opzichte van de risico's niet waard. Door je vetpercentage te verlagen kun je er ook een stuk beter uitzien. En dan neem je de langere weg, geniet van het proces en hou je hoofd koel. :thumb: Succes
 
Nebido wordt volgens mij gewoon vergoed vandaag de dag.
Hoo, ziek. Ik ga het ff na!

Edit: Je hebt gelijk bro, wat goed! €117,29 voor 4 ml van 250 mg/ml. (komt nog klein beetje bovenop door je apotheek) 100% vergoed, maar uiteraard zoals bij elk medicijn wel eerst je eigen risico er doorheen jassen. Dat staat al een paar jaar op 385 euro mocht iemand dat niet weten, volgend jaar ook geen verhoging overigens ;)). Het is al meteen duidelijk dat ik een paar jaar weg ben geweest van dbb haha.
 
Laatst bewerkt:
  • Like
Waarderingen: Vonk
Hoo, ziek. Ik ga het ff na!

Edit: Je hebt gelijk bro, wat goed! €117,29 / ml (komt nog klein beetje bovenop door je apotheek) 100% vergoed, maar uiteraard zoals bij elk medicijn wel eerst je eigen risico er doorheen jassen. Dat staat al een paar jaar op 385 euro mocht iemand dat niet weten, volgend jaar ook geen verhoging overigens ;)). Het is al meteen duidelijk dat ik een paar jaar weg ben geweest van dbb haha.
Injectieflacon Nebido is 4ml. Dat is altijd al zo. Was eerder ampul, maar nu ook in vials.(injectieflacon)
 
Dat gaat hem niet worden helaas, voel me juist mentaal goed hierdoor. Zonder deze, zou ik nu niet aan het typen zijn.

Ik heb beide ouders verloren in 2020 en 2021 en zonder deze medicijnen had ik er allang een einde aan gemaakt.

En nu, in 2023, ben ik mentaal sterker dan ooit.

En om een voorbeeld te geven, ik ben autistisch. Dus het gebeurt eigenlijk nooit. Maar als ik in de ochtend mijn Venlafaxine vergeet, heb ik in de avond gegarandeerd een paniekaanval.
Dat is niet zo vreemd, venlafaxine staat bekend om heftige afkickverschijnselen al na 1 dosis

Ik heb het ook een tijdje gebruikt lang geleden en als ik een keer een enkele dosis vergat (kun je zelfs klok op gelijk zetten)krieeg ik steeds erger wordende (soort van elektrische) schokjes door mijn hoofd. Toenemend in intensiteit en daarnaast allerlei andere vage klachten die zeker angst -/ paniek aanvallen kunnen uitlokken.daarnaast ga je sowieso als je stopt ergere aanvallen krijgend dan voordat je ermee begon maar daar moet je even doorheen en is maar tijdelijk.
 
Laatst bewerkt:
Status
Niet open voor verdere reacties.
Terug
Naar boven