- Lid sinds
- 17 jul 2024
- Berichten
- 276
- Waardering
- 33
- Lengte
- 1m83
- Massa
- 77kg
- Vetpercentage
- 20%
Oke top thanks dan hou ik dat aan!Als je fitness dude bent dan is 150g eiwit voldoende. Dan 80g vet en rest carbs
Volg de onderstaande video samen om te zien hoe u onze site kunt installeren als een web-app op uw startscherm.
Notitie: Deze functie is mogelijk niet beschikbaar in sommige browsers.
Oke top thanks dan hou ik dat aan!Als je fitness dude bent dan is 150g eiwit voldoende. Dan 80g vet en rest carbs
Oke duidelijk thanks!Ik noem doelgewicht omdat ik het zelf een beetje raar vind om wanneer je 10kg afwijkt van wat je wilt bereiken, of bijvoorbeeld 10kg ondergewicht hebt, je proteine inname op je huidige gewicht te baseren. Terwijl het uiteindelijk moet dienen om spiermassa bij dat doelgewicht van 10 kg extra weer te behalen en ondersteunen.
Of stel dat je eerst gaat cutten naar 70 kg ofzo om het daarop dan bij te stellen naar 140gr, om dan weer omhoog te gaan naar mate je zwaarder wordt tot weer naar 160-170 gr. Zou zelf gewoon dat doel van die lean 80-85 kg ofzo nemen en voor altijd die hoeveelheid 2x aan proteine eten ben je klaar voor het leven.
Maar de standaard is gewoon 2x je gewicht.
Uiteindelijk ligt dat niet zo nauw als je 2x je lichaamsgewicht neemt, heb je volgens sommigen zelfs al een buffer, en kun je inderdaad besparen t.o.v. die 200 gr.
Maar o.b.v. studies vind ik dat er ook wel iets te zeggen valt voor betere resultaten bij extremen (gevorderden en voor behoud bij extreem laag vet%) 2.6x of zelfs 3x je lichaamsgewicht. Maar dat wordt er niet goedkoper op en die hoeveelheid wordt hier niet standaard geadviseerd.
hoog in protein is voor zvm spierbehoud en zelfs opbouwen.Ik noem doelgewicht omdat ik het zelf een beetje raar vind om wanneer je 10kg afwijkt van wat je wilt bereiken, of bijvoorbeeld 10kg ondergewicht hebt, je proteine inname op je huidige gewicht te baseren. Terwijl het uiteindelijk moet dienen om spiermassa bij dat doelgewicht van 10 kg extra weer te behalen en ondersteunen.
Of stel dat je eerst gaat cutten naar 70 kg ofzo om het daarop dan bij te stellen naar 140gr, om dan weer omhoog te gaan naar mate je zwaarder wordt tot weer naar 160-170 gr. Zou zelf gewoon dat doel van die lean 80-85 kg ofzo nemen en voor altijd die hoeveelheid 2x aan proteine eten ben je klaar voor het leven.
Maar de standaard is gewoon 2x je gewicht.
Uiteindelijk ligt dat niet zo nauw als je 2x je lichaamsgewicht neemt, heb je volgens sommigen zelfs al een buffer, en kun je inderdaad besparen t.o.v. die 200 gr.
Maar o.b.v. studies vind ik dat er ook wel iets te zeggen valt voor betere resultaten bij extremen (gevorderden en voor behoud bij extreem laag vet%) 2.6x of zelfs 3x je lichaamsgewicht. Maar dat wordt er niet goedkoper op en die hoeveelheid wordt hier niet standaard geadviseerd.
50 gr vet lijkt mij vooral relatief en dan significant afwijken van 1x z'n (doel)gewicht wat we uit een studie als wenselijk voor testosteron kennen.
Daar mag dan wel onderbouwing voor zijn, om af te wegen.
Ongeveer hetzelfde inderdaad, maar je (doel)gewicht is geen 90 kg toch?Oke duidelijk thanks!
veel simpeler zo ja
Hou de 150 gewoon aan.
Wat ik vroeger altijd dee is 1 x lichaamsgewicht in pounds/Lbs
dus stel je weegt 90 kg / 200 lbs dan at ik 200 proteïne
Ik zou het ook geen schade noemen maar ik denk dat zo laag in vet gaan als kuurder makkelijker praten is.In cut 0.6x bw vet is gebruikelijk. Zoveel vet heb je niet eens nodig, en nee er treed geen ‘hormoonschade’ op
Waaronder ikzelf en met toch echt ervaren voordelen bij 1gr / kg.Tijdje op laag vet ga je niet dood aan dus 1gr vet / bw is een maatstaaf, maar x maanden op de helft overleef je ook wel.
Ken trouwens best veel mannen die structureel eigenlijk wel maanden op minder dan 1gr bw aan vet zitten.
Ik heb wel nog lager gezeten tijdens gebruik. Neemt niet weg dat er geen enkele reden is voor meer. Je gaat er niet dood aan……🙃Ik zou het ook geen schade noemen maar ik denk dat zo laag in vet gaan als kuurder makkelijker praten is.
Waaronder ikzelf en met toch echt ervaren voordelen bij 1gr / kg.
Je gaat er niet dood van, maar ook energie, honger, smaak, etc. is allemaal van belang.
Het is ook niet alsof de kcal zo laag moeten dat hier geen ruimte voor is.
Maximale effectieve eiwit inname ligt al tussen de 1,6 en 1,8 g/kg.
Bovenstaande ivm onderstaande: eiwitten zijn vaak het duurste onderdeel van de maaltijd.
Tips voor skere studenten.
Hoger testosteron niveau, en energie, honger, smaak, zijn allemaal redenen.I
Ik heb wel nog lager gezeten tijdens gebruik. Neemt niet weg dat er geen enkele reden is voor meer. Je gaat er niet dood aan……🙃
Ook niet op 0.6x bw.
Is niet aangetoond dat je test door vet omhoog gaat, dieper in cut laag test komt niet door vet uit eten, maar door te weinig kcals totaal. Ook langer op laag vet en licht gewicht dan hormoon problemen veroorzaken. Niet als je 12 weken natty cut op 50g vet dagelijks. Hij weegt maar 76kg met amper spiermassa.Hoger testosteron niveau, en energie, honger, smaak, zijn allemaal redenen.
Wat is dan de reden om op 0.6x of 50gr te gaan?
Met of zonder test?Ken trouwens best veel mannen die structureel eigenlijk wel maanden op minder dan 1gr bw aan vet zitten.
Meeste die ik ken is “met” 😂Met of zonder test?
Never mind, heb @Bullshark z'n bericht net gelezen over de invloed van vet op de eigen hormonen.
Jawel, hoewel het exacte mechanisme ervoor niet duidelijk is geloof ik.Is niet aangetoond dat je test door vet omhoog gaat
Sluit elkaar niet uit, meerdere factoren kunnen meespelen. Zo ook lichaamsvetpercentage, tekorten aan micro's, slaap, etc., dieper in cut laag test komt niet door vet uit eten, maar door te weinig kcals totaal.
Waarom laag vet aanraden?Ook langer op laag vet en licht gewicht dan hormoon problemen veroorzaken.
Maar wat was nou de reden om voor 50gr of 0.6x vet te gaan?Niet als je 12 weken natty cut op 50g vet dagelijks. Hij weegt maar 76kg met amper spiermassa.
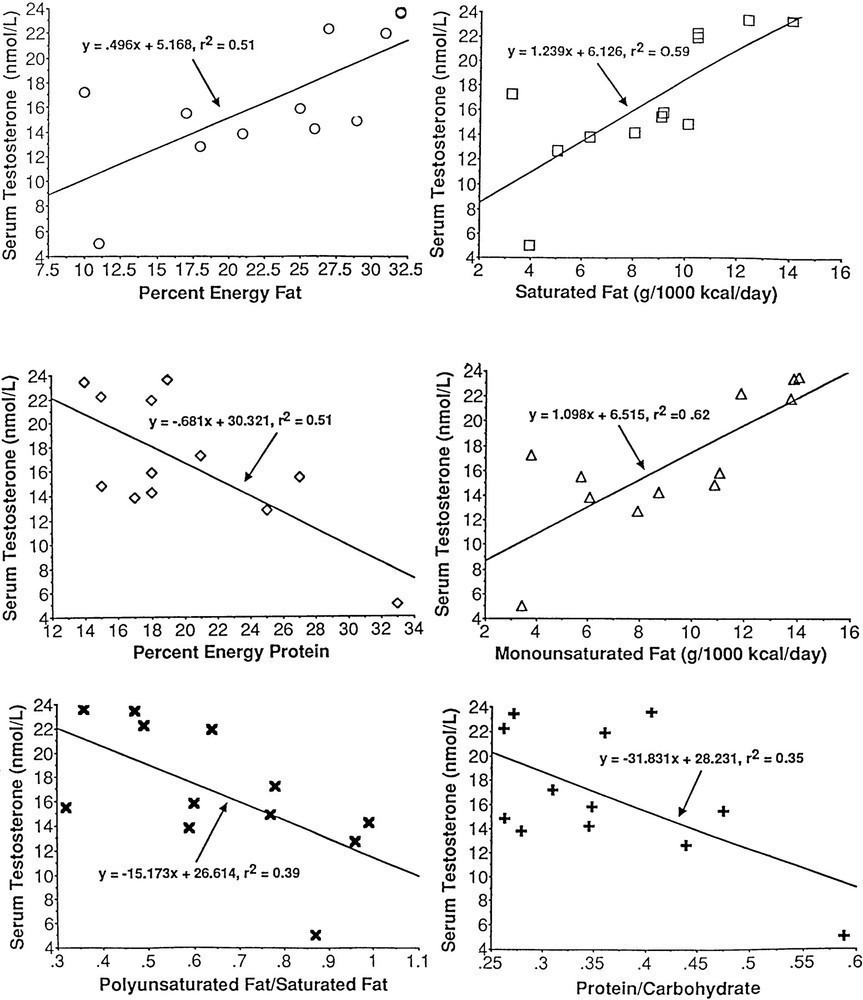
Grafiek linksboven is totaal vet als percentage van de kcal inname, tenminste t/m 32.5% hoe meer hoe beter. Andere studies gaan nog verder maar je wilt ook nog carbs en proteine nemen natuurlijk.@chrisk dat gaat om 24g verzadigd vet per 1000kcals dieet !
Dus 2000kcals a 48g verzadigd vet. Hoeveel is 25% van 2000kcals ?
Advies is dus ook geen 9% vet.
Dat 1 gr vet per kg lichaamsgewicht om testosteron productie en verschillende andere reden beter zou zijn dan minder dan dat.Dus wat wil he nu duidelijk maken, dat hij op mijn advies low-t klachten krijgt ?
Nee dat was paar jaar geleden toen ik 92 kg weegde op 18%50 gr vet lijkt mij vooral relatief en dan significant afwijken van 1x z'n (doel)gewicht wat we uit een studie als wenselijk voor testosteron kennen.
Met proteïne zou 2x (doel)gewicht 40+ gr schelen t.o.v. 200.
Beiden een flink verschil. Maar ik vraag mij vooral af hoe je anders dan de standaard bij die voorgestelde getallen kwam.
Daar mag dan wel onderbouwing voor zijn, om af te wegen.
Ongeveer hetzelfde inderdaad, maar je (doel)gewicht is geen 90 kg toch?
Langzame cut toch?
