Je gebruikt een verouderde webbrowser. Het kan mogelijk deze of andere websites niet correct weergeven. Het is raadzaam om je webbrowser te upgraden of een alternatieve webbrowser te gebruiken.
Ik vind het sowieso wel een grappig onderwerp. Mensen denken dat het een statisch feit is, onderdeel van wat ze zijn. Ik BEN x cm. Ik denk dat het best een cm of wat scheelt door de dag heen, of je iets zwaars getilt hebt, hoe je houding de laatste tijd is, etc.
Consciousness … seems to be among the chronically unemployed … As far as anybody knows, anything that our conscious minds can do they could do just as well if they weren’t conscious. Why, then, did God bother to make consciousness? What on earth could he have had in mind?
Jaa zo is ie echt alleen heb ik geen smith, dus in rack vanaf pins op de goede hoogte. Ik wijs mensen er ook wel altijd op dat het niet op de grond zitten is, maar op bankje met hoogste back support.
Prachtig, 2 wereldberoemde pro gamers hebben tijdens een live toernooi per ongeluk hun cheats zichtbaar gemaakt.
Deden meteen alsof ze gehacked werden (terwijl er niks anders gebeurd dan wat coherent zou zijn met per ongeluk cheats zichtbaar maken) en nu zijn er meteen allemaal mensen op twitter mede pros en streamers die roepen dat Remote Code Execution hacks via dat spel/anticheat software mogelijk zijn. Plots allemaal security experts. Maar waarom zijn dan niet veel meer spelers in dat toernooi gehacked? En waarom gebeurde er niks anders dan 1 cheat aanzetten? Zou toch los gaan als hacker tijdens een live toernooi.
Fans die allemaal roepen dat je dom bent als je gelooft dat ze cheaten.
Ahh heerlijk ik heb jaren gewacht op zoiets als dit. En een van de 2 is nog een speler waarvan ik het altijd zeer waarschijnlijk heb gevonden dat hij cheat.
Een gebalanceerde omega3 : omega6 ratio is ook een ding voor inflammatie. Plantaardige olieën zoals lijnzaadolie bevatten veel omega6.
The ratio of omega-6/omega-3 fatty acids in the brain is between 1:1 and 2:1 which is in agreement with the data from the evolutionary aspects of diet, genetics, and the studies with the fat-1 animal model. Therefore, a ratio of 1:1 to 2:1 omega-6/omega-3 fatty acids should be the target ratio for health.
Several sources of information suggest that human beings evolved on a diet with a ratio of omega-6 to omega-3 essential fatty acids (EFA) of approximately 1 whereas in Western diets the ratio is 15/1-16.7/1. Western diets are deficient in omega-3 fatty acids, and have excessive amounts of...
pubmed.ncbi.nlm.nih.gov
Andrew Stoll, M.D., Director of the Psycho-pharmacology Research Laboratory at Harvard's McLean Hospital, who advocates the consumption of the two fats in a 1:1 ratio, states, "Once in the body, omega-3 and omega-6 fatty acids follow parallel pathways, continually competing with each other for chemical conversion to various structures and molecules inside and outside the cells. Given this mechanism, it makes sense that the two fats might be required in approximately equal amounts."[8]
In the past three decades, total fat and saturated fat intake as a percentage of total calories has continuously decreased in Western diets, while the intake of omega-6 fatty acid increased and the omega-3 fatty acid decreased, resulting in a large ...
www.ncbi.nlm.nih.gov
Misschien kun je vet eigenlijk beter als % van totaal kcal rekenen, maar de 1gr/kg vuistregel komt voor de meesten wel redelijk uit tov de andere macros.
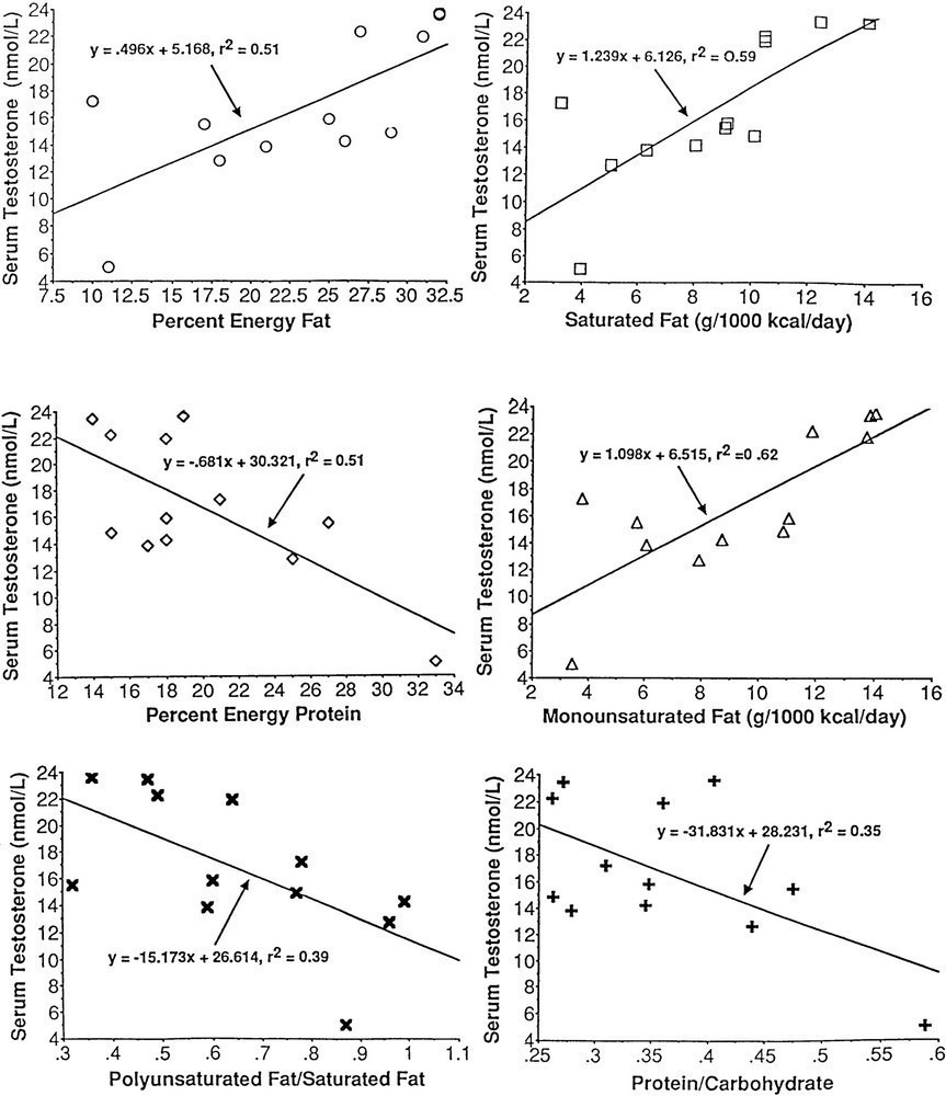
Dit dan voor de correlatie van hogere vet inname met testosteron niveaus. (persoonlijk merk ik het ook wel als ik er ruim onder ga wat ik met hoe lean ik van nature eet snel heb)
De relevantie daarvan voor vrouwen weet ik niet.
Voor dat doeleinde kun je in dit plaatje dus ook een upper limit van je gewenste omega3+omega6 (polyunsaturated) inname vinden.
Voor het minimum om te overleven is heel weinig EPA+DHA nodig, maar er zijn wel allerlei studies die baat vinden van tot wel 4-5 gram voor cognitie, cognitieve aandoeningen, hart en bloedvaten, metabolische aandoeningen, etc.
For nearly a century now, we thought we knew what the essential fatty acids were, linolenic acid and alpha-linoleic acid. I've written it in my books and in various articles as have many others. As so often happens in science, with new data comes new models. Because it looks like we may have...
Verspreid over de dag/voor/bij elke (vooral high-carbs) maaltijd innemen helpt tegen bloed schommelingen en inflammatie, "brain fog". (daarmee kom je dus ook vanzelf op meerdere gr)
Maar EPA+DHA zijn de belangrijke en ALA zet daar nauwelijks naar om. Nog nauwelijkser in mannen.
even voorbeeld gezocht zei:
Hoeveel omega 3,6 & 9 zit er in Lijnzaadolie?
omega 9 ca. 17%
omega 6 ca. 15%
omega 3 ca. 55% ALA na omzet tot EPA+DHA effectief maar ca. 5% (mannen) 10% (vrouwen)
Studies of ALA metabolism in healthy young men indicated that approximately 8% of dietary ALA was converted to EPA and 0%-4% was converted to docosahexaenoic acid (DHA) (6).
Volgens mijn voorbeeld berekening vind ik het wel een punt om voor te waarschuwen. Wat betreft die ratio neem je een bron van omega 3 niet om juist netto nog hoger in omega 6 uit te komen. Vergeet ook niet dat de meeste diëten al hoog in omega 6 zijn en je en dus vooral het omega 3 niveau wilt opkrikken.
Volgens mijn voorbeeld berekening vind ik het wel een punt om voor te waarschuwen. Wat betreft die ratio neem je een bron van omega 3 niet om juist netto nog hoger in omega 6 uit te komen. Vergeet ook niet dat de meeste diëten al hoog in omega 6 zijn en je en dus vooral het omega 3 niveau wilt opkrikken.
Maar wat gebeurt er dan met het “overschot” ALA en is dat niet te prefereren boven nog meer omega 6 of 9?
Maw, als je niet voldoende EPA en DHA binnenkrijgt is het dan te prefereren om meer ALA binnen te krijgen dan omega 6 of 9 of niet, of maakt dat niet uit?
Maar wat gebeurt er dan met het “overschot” ALA en is dat niet te prefereren boven nog meer omega 6 of 9?
Maw, als je niet voldoende EPA en DHA binnenkrijgt is het dan te prefereren om meer ALA binnen te krijgen dan omega 6 of 9 of niet, of maakt dat niet uit?
Lyle's artikel in de "minimum" spoiler bevat een plaatje met de conversies vanaf ALA en vraagt zich ook af of ALA op zich nut heeft maar is niet bekend/duidelijk. Behalve dat het hopelijk wat omzet naar EPA+DHA.
Als je meer details kunt vinden over welke mogelijke nutten het toch kan hebben, dan graag delen.
Maar wat gebeurt er dan met het “overschot” ALA en is dat niet te prefereren boven nog meer omega 6 of 9?
Maw, als je niet voldoende EPA en DHA binnenkrijgt is het dan te prefereren om meer ALA binnen te krijgen dan omega 6 of 9 of niet, of maakt dat niet uit?
N-3 Polyunsaturated fatty acids have been shown to have potential beneficial effects for chronic diseases including cancer, insulin resistance and cardiovascular disease. Eicosapentaenoic acid (EPA) and docosahexaenoic acid (DHA) in particular have been ...
www.ncbi.nlm.nih.gov
EPA and DHA intake is also low in some European countries as reviewed [12] and in India [13], making ALA the principle n-3 PUFA consumed in these regions. The prevalence of CVD [14], IR [15], and some types of cancers [16] in these countries is elevated, in contrast to countries with high fatty fish intake like Japan [17]. If conversion efficiency is the main criteria, then the epidemiological evidence above would suggest that ALA may not confer the same health benefits as its longer chain counter-parts, EPA and DHA.
While the conversion of ALA to its long-chain derivatives is important, human and animal studies reveal that a major metabolic fate of ALA metabolism is β-oxidation. Over a 24 hour period, 20% of palmitic, stearic, and arachidonic acids orally administered to rats were expired as CO2, compared to 60% for labelled ALA [37]. In humans, the values are slightly less, with 16–20% of ALA being expired as CO2 over 12 hours [6,38]. This corresponds with a recent tracer study in men consuming a control meal that included 700 mg of labelled ALA, which demonstrated that ~34% of the labelled ALA was recovered as CO2 over 24 hours [39]. In a subsequent study using test diets with elevated levels of ALA (10 g/d) or EPA+DHA (1.5 g/d) consumed for 8 weeks, it was observed that the amount of expired label in the second tracer study was not affected by increasing either ALA or EPA+DHA intakes [39]. In addition, a separate study in humans determined that ALA was the most highly oxidized fatty acid when compared to other 18 carbon fatty acids including linoleate, elaidate, oleate, and stearate [40]. Other metabolic routes of ALA include carbon recycling for de novo lipogenesis in the brain and other tissues [41].
Bekijkt nog veel meer mogelijkheden maar dan moet je het weer los zien te trekken van dat het eigenlijk door de conversie komt.
Het gaat mij ook niet om de conversie, maar ik heb in deze de insteek baadt het niet dan schaadt het niet want als je minder ALA tot je neemt zal je meer andere vetzuren tot je nemen.